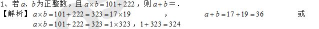
当前位置: > 奥数天天练 > 五年级汇总 > 五年级奥数天天练试题及答案7.24(应用题)

五年级奥数天天练试题及答案7.24(应用题)

    标签:五年级汇总
来源:
中网建材 中网化工 中网机械 牛涂网 中网体坛 中网生活 中网沥青 中网涂料 中网机器人 中网塑料 中网橡胶 中网玻璃 美美日记 中网资讯 广东熊猫网 读后感 读后感问答 读书笔记 胎教大全 汉语字典 成语大全 造句大全 组词查询 近义词 反义词 故事大全 英语单词 英语近义词反义词 英语例句大全 英语缩写大全 知识问答 三字经 数字大小写转换 邮编查询 脑筋急转弯 歇后语 百家姓 怀孕周期表 古诗词 对联大全 新华字典 汉语词典 成语大全 二十四节气 古诗词大全 中国古典 作文范文参考 范文 名言 版报 文档 诗词 奥数